Policy - Inventory List/Order Form
REF. NO. MBNA 58/23TO: FIELD SERVICE PERSONNEL (INTERNAL)
DATE: June 1986
SUBJECT:
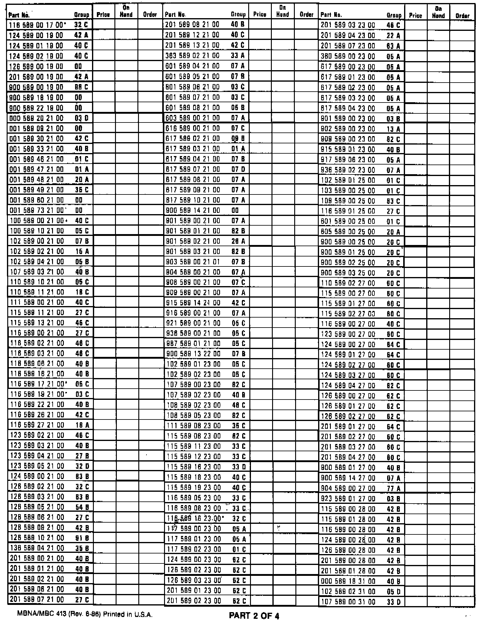
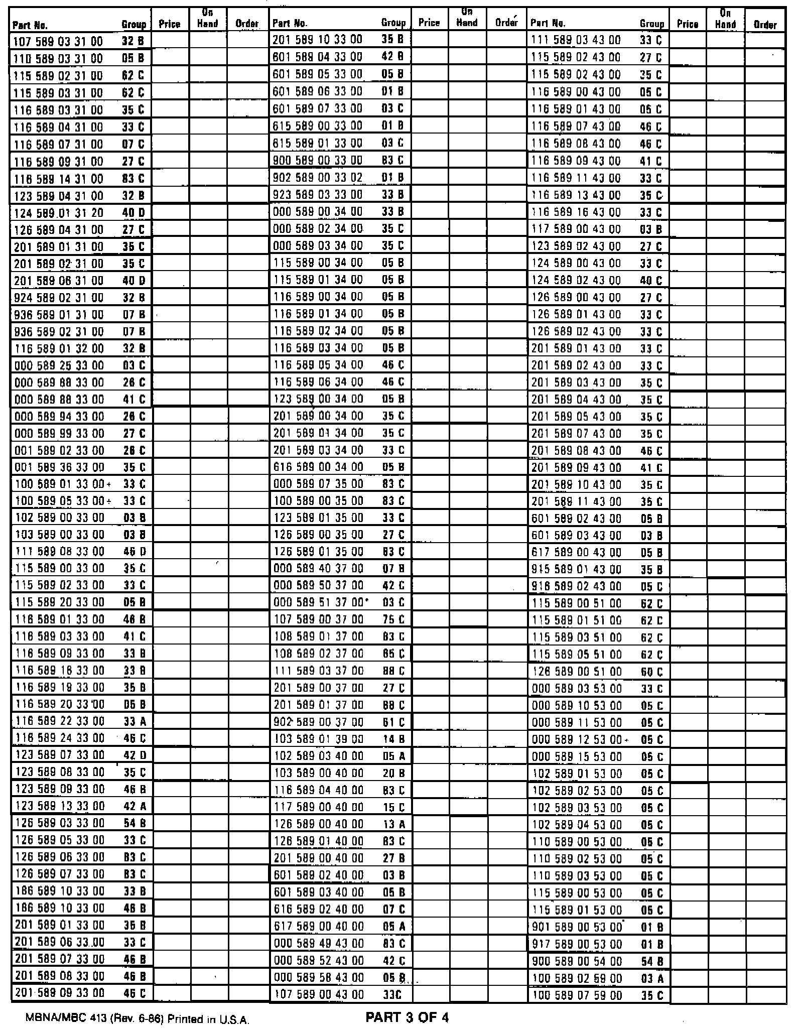
INVENTORY LIST AND ORDER FORM MBNA/MBC 413 (REV. 6/86) FOR SPECIAL TOOLS FOR PASSENGER CARS
(SUPERSEDES BULLETIN MBNA/MBC 413 REV. 7/85)
c�2]:

�\3]:

��3]:

<4]:

Included is a sample copy of the Special Tool (Passenger Cars) Inventory List/Order Form updated to include all current special tools required for the service and repair of Mercedes-Benz passenger cars (Field Service Managers are receiving ten (10) copies with this bulletin). The Inventory List/Order Form must be completed when preparing a Service Assessment for a prospective dealer, buy-out, relocation or reorganization. It must be prepared annually as part of the Service Evaluation on all existing dealers. The form may be used either for an order or to document inventory status, or it may be combined to do both) as in the case of a Service Evaluation.
The Inventory List/Order Form is used to determine the dealer's special tool inventory status and to determine additional tool needs of the dealer. When additional tools are ordered, it is recommended to fill in the prices on the Inventory List/Order Form in the space provided for the ordered tools only. This procedure will enable the Field Service Manager to quote a total price to the dealer for the additional tools which are to be purchased by the dealer. When ordering special tools for new dealers where the complete A and B tools sets are typically ordered, it is not required to fill in individual tools prices on the Inventory List/Order Form. Price summaries of complete tool sets (A, B, C, D) are published separately. However, the form must be marked with a check mark in the appropriate spaces when used as an order form. A Parts Order Form (No. 5020A) should not be issued since this would result in a duplicate order.